
文章源自《中国科学院院刊》2026年第4期,专题:气候变化与粮食安全
全球气候变化令人类可持续发展面临严峻挑战,其对农业系统的影响尤为深远。农业是对光、温、水等气候资源高度依赖的基础产业,其生产格局、资源效率和系统稳定性正经历着气候变暖的深刻重塑。中国西北地区地理环境独特、生态脆弱性突出而又肩负着重要的粮食生产和生态安全功能,对气候变化尤为敏感和脆弱。因此,系统探究气候变化对西北地区粮食生产的影响机制,科学构建适应性与减缓性并重的应对策略体系,不仅是区域农业可持续发展的迫切需求,更是保障国家粮食安全、实现人与自然和谐共生的重大战略课题。
西北地区地处干旱半干旱地带,生态环境脆弱,水资源短缺是其农业发展的根本性约束。该区域承载着全国12.6%的耕地面积,生产了全国约6.5%的粮食,是国家重要的粮食生产功能区。“暖湿化”气候在为西北地区农业发展带来更多机遇的同时,也加剧了极端水文气候事件频发、病虫害滋生等一系列风险,使得西北地区粮食生产安全面临前所未有的考验。西北地区粮食生产系统的脆弱性不仅源于严酷的自然条件,也受特定的社会经济结构及农业管理实践的多重影响。若缺乏前瞻性的系统应对,气候变化可能进一步拉大区域内部发展差距,侵蚀来之不易的扶贫成果,甚至引发连锁性的经济社会与生态环境问题。
因此,系统阐明气候变化对西北地区粮食作物生产潜力、种植制度及灾害风险的深层影响机制,并据此构建科学、协同、高效的适应性策略体系,已成为一项关乎区域农业可持续发展和国家粮食安全大局的关键课题。本研究结果可为提升区域粮食作物气候适应能力、推动区域农业绿色高质量发展提供科学依据和决策参考。
1 西北地区粮食生产现状与制约因素
1.1 西北地区区域概况
西北地区国土面积占比高,但气候条件时空异质性强。
该地区包括陕西、甘肃、宁夏、青海、新疆等,总面积约3.04×10^6 km^2,约占国土总面积的32%,人口总数约1.04亿。西北地区属于典型温带大陆性干旱半干旱气候,年均降水量25—500 mm,降水量季节分配极不均匀,夏季集中、冬季稀缺;蒸发强烈,潜在蒸发量600—3000 mm/a;气温日较差可达25℃,年较差高达40℃以上。
西北地区光热资源丰富,但水资源分布不均。
该区域日照时间长,太阳辐射强度大,耕地面积约1.70×10^7 hm^2,占全国耕地总面积13.2%;后备耕地资源丰富,集中于新疆、河西走廊、河套平原等绿洲农业区。西北地区是我国粮食增产潜力最大的区域,但面临水土流失、严重干旱及水资源分布不均的挑战。同时,受气候变暖、降水波动及极端天气事件影响,该地区水分亏缺加剧,持续制约着粮食生产过程。
1.2 主要粮食作物生产概况
西北地区粮食作物种植结构在时空尺度上具有显著异质性。
小麦、玉米和马铃薯作为西北地区最主要的粮食作物,在保障区域粮食安全、支撑畜牧业发展和稳定农民收入等方面发挥着关键作用。小麦长期以来是该区域的优势粮食作物,在区域粮食生产中占据主导地位。陕西和甘肃依托关中平原与河西走廊等相对集中的耕作区,形成了以冬小麦为主的稳定种植格局,是西北地区传统的小麦生产核心区。新疆及甘肃河西走廊作为典型的绿洲农业区,通过引蓄天山、昆仑山和祁连山的冰雪融水,在干旱荒漠上构建了高度集约的绿洲灌溉体系。新疆凭借优越的光热资源和日益完善的灌溉基础设施,使小麦单产长期处于较高水平,成为区域口粮供给的核心支柱。宁夏和青海受限于耕地资源规模和自然条件约束,粮食作物种植比例总体较低。随着畜牧业发展和饲料需求增长,玉米逐渐由补充性作物转变为重要的粮食和饲料兼用作物。与小麦相比,玉米在西北地区的种植面积和比例增速明显。新疆、甘肃及陕西部分地区玉米种植面积和比例持续增加,区域农业生产结构由“口粮优先”向“粮经饲协调发展”转变。马铃薯在西北地区同样具有重要地位,尤其在高寒旱区表现出显著优势——在青海、甘肃中东部及宁夏南部等海拔较高、降水较少地区种植较多。其中,甘肃定西被誉为“中国马铃薯之乡”,已形成完整的种薯繁育、商品薯生产和加工产业链,不仅为当地提供稳定的口粮来源,还通过鲜薯外销和深加工显著增加农民收入,并常与小麦、玉米形成轮作或间作模式,从而提升土地利用效率。
西北地区粮食作物产量在时间尺度上呈现波动上升趋势。
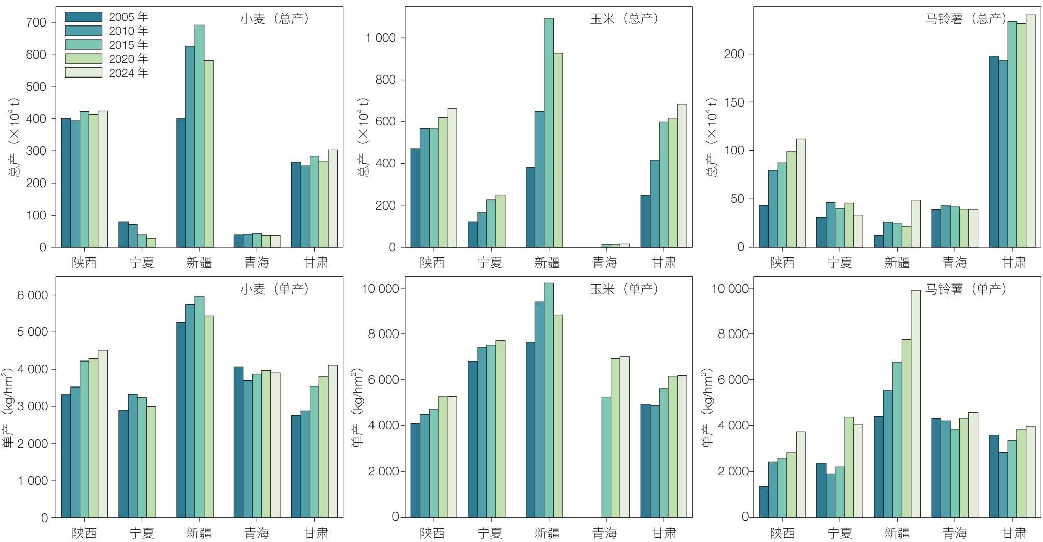
20世纪80年代至今,西北地区小麦、玉米和马铃薯的单产在时间尺度上表现出稳增趋势。在播种面积与单产双增的背景下,西北地区粮食总产量整体呈现波动上升态势,但不同省份的增产驱动机制存在一定差异(图1)。其中,陕西和甘肃的粮食增产更多依赖于播种面积维持与单产稳步提升的协同作用;新疆粮食总产增长则以单产提高和高效灌溉农业发展为主要驱动因素;宁夏和青海粮食总产规模相对有限,但在区域粮食安全和生态脆弱区农业稳定方面仍具有不可替代的作用。

图1 西北五省份小麦、玉米和马铃薯产量水平省际差异
西北地区粮食作物种植区域在空间格局演变上呈现一定的集聚趋势。
小麦主要集中分布于关中平原、河西走廊及新疆天山南北麓灌区;玉米则在灌溉条件较好、热量资源相对充足区域加快扩张;而马铃薯凭借耐旱耐瘠薄、适应寒冷与旱作环境、产出稳定等特性,在陇中、陇东、宁南山区、青海高原及黄土高原北部等山地丘陵与高原过渡带形成相对集中的优势产区,并与小麦、玉米在不同水热梯度与耕作制度下呈现互补分布。这种空间分异特性体现了绿洲农业与雨养农业在生产逻辑上的本质差异。绿洲区通过“以水定地”,实现了农田向水资源保障度高的区域退缩与集约,而黄土高原及周边地区则在不同水热梯度下呈现出马铃薯与小麦、玉米的互补分布特征。在水资源刚性约束和气候变化日益凸显的背景下,粮食作物种植格局的调整逐渐由“扩面积”向“提效率”转变。
1.3 西北地区粮食生产的制约因素
西北地区水资源短缺、农业气象灾害频发与土壤质量低下成为限制该区域粮食产能提升的三大核心瓶颈。
水资源是西北旱区农业生产的决定性因素。西北地区水资源总量为9.378×10^10 m^3,其中农业用水量为7.798×10^10 m^3,占总水资源量的83.2%。水资源总量匮乏与时空分布不均严重制约西北地区的粮食生产。首先,区域内降水稀少且蒸发强烈,农业用水长期处于不平衡的状态。近年来,尽管西北地区呈现“暖湿化”趋势,但气候因素带来的降水增量远不足以抵消由耕地扩张和作物集约化种植引起的需水增加量,导致农业用水风险加剧。此外,降水与作物物候期的时间不同步性,迫使农业高度依赖地下水开采,导致部分灌区地下水位下降。
极端天气事件频率和强度增加显著扰动了区域粮食生产的稳定性。
西北地区的气象灾害呈现“种类多、范围广、突发性强”的特点。干旱、干热风、旱涝急转、早晚霜冻、花期热害、冰雹、风害与沙尘天气共同构成影响西北地区粮食稳产的主要气象风险链条。干旱是影响面最广的灾害类型之一,虽然降水总量在部分区域有所增加,但降水变率的增大导致了频繁的季节性干旱。气温升高引发的潜在蒸散发量增加,使得作物生育关键期的水分亏缺风险依然严峻,尤其是春旱和伏旱直接威胁小麦与玉米的产量。除干旱外,早晚霜冻胁迫不容忽视,倒春寒易导致冬小麦遭受冻害;夏季干热风则会加速作物蒸腾失水,缩短灌浆期,从而影响粮食产量。这种气候波动性导致粮食生产面临极大的不确定性。
土壤质量低下是制约西北地区粮食生产潜力的关键内因。
西北地区耕地土壤有机质含量低,发育程度低,沙漠化与风蚀导致表土细颗粒流失,有机质及氮磷积累不足,保水保肥能力弱。同时,土壤结构疏松、团聚体稳定性差、孔隙分布不合理,导致土壤抗侵蚀能力与持水能力进一步下降。土壤微生物数量与酶活性偏低,养分矿化与供给过程缓慢,肥料利用率不高,易出现“施而不效”的低效投入等问题。
2 西北地区气候变化时空复杂性与农业气象灾害风险加剧
2.1 西北地区气候变化的时空复杂性增强
西北地区气候由“暖干”逐步转向“暖湿化”。
20世纪90年代中后期以来,西北地区气候“暖湿化”趋势尤为明显。降水量增加是推动“暖湿化”加速的主要因素。20世纪60年代以来,气温以0.34℃/10 a速率上升是“暖湿化”的重要推手。自1987年以来,湿化趋势尤为显著,降水量持续增加,部分区域增幅约7.7 mm/10 a。尤其进入21世纪后,西北地区主要通过极端降水和短时对流降水增加降水量,其主要发生在新疆、青海和甘肃大部分高海拔地区。而降水极端化带来的气候变率增大问题导致极端高温、干旱与强降水灾害频发,对农业生产稳定性构成威胁。
西北地区横跨干旱、半干旱、高寒等多个气候类型,区域气候差异显著。
降水量整体上由东南向西北显著递减。陕西降雨量为西北地区最多,平均700 mm,而新疆则不足200 mm。空气温度以陕西最高,多年平均在11℃—12℃,青海的空气温度约2℃。太阳辐射强度以青海为中心向四周递减,新疆和宁夏地表风速较高,陕西相对较低。西北地区的降水量与平均温度在时间尺度上呈波动上升态势,其中新疆和青海趋势更明显,而太阳辐射与风速则持续下降。20世纪60年代以来,粮食作物生育期内的气温升高和降水量增加明显且普遍高于全年水平,但太阳辐射和风速同步下降,可能影响作物光合产物积累。
2.2 农业气象灾害发生频率和强度增加
气候变化背景下,西北地区农业气象灾害正向着极端化与复合化转变。干旱事件“东增西减”且极端化增强。
2016年夏季极端干旱中,仅陕西、甘肃、宁夏3省份的农作物受灾面积就超过6.4×10^5 hm^2。干旱发生频率整体表现为夏季>春季>秋季;近50年来,西北地区西部干旱强度有所减弱,而东部地区干旱强度与发生频率同步上升。“特旱”发生范围广、频率高,重旱高值区主要集中在北疆和西北地区的东北部。夏秋季节易发旱涝急转,强度随“暖湿化”而增强。新疆和黄土高原旱涝急转强度明显增大,长期干旱向突发洪涝转变加快。
干热风与高温热害向高海拔区域扩张,严重影响西北主产区作物产量,“干枯逼熟”现象频发。
时间上,干热风呈阶段性特征。其中,河西地区的干热风在1995年前总体减少,之后干热风稳定在6月上旬。进入21世纪后,干热风日数出现“爆发性增长”,加剧“高温逼熟”风险。空间上,干热风由传统低海拔盆地向高海拔区域扩张,中部地区(如鼎新、民勤等)最为突出。早晚霜冻也是西北地区典型的气象灾害,春季“物候错配”与秋季“初霜不稳”并存。春季因物候变化提前使作物易受晚霜冻害。秋季初霜冻日期整体呈推迟趋势,2009年以前,初霜冻日期以平均1.8 d/10 a的速率推迟。初霜冻时间年际间差异大,增加了农业生产中的“避霜”难度。此外,冰雹和风害多发,具有“高海拔—滞后性”特征,导致甘肃、陕西、青海等省份的大面积作物倒伏与设施农业损毁。这2类灾害在作物生长旺季(每年6—8月)叠加出现,风险突出。
沙尘天气不仅造成土壤风蚀退化,还直接导致农作物损伤,是西北地区典型气象灾害之一。
单次特强沙尘暴即可导致近1.7×10^5 hm^2农田受灾,造成的直接经济损失高达9.37亿元。西北地区沙尘日数总体呈减少趋势,然而沙尘活动极端性并未减弱。塔里木盆地作为极端沙尘事件的高发区,高浓度(> 75 μg/m^³)极端沙尘事件的强度却常被低估。
3 气候变化对西北地区粮食生产的影响与挑战
3.1 气候变化加剧粮食作物产量的时空差异性
气候因子之间存在强烈的协同或拮抗效应,综合调控着作物光合效率、水分利用和生殖发育过程。在气候“暖湿化”趋势下,西北地区的光、热、水资源有所改善,农业适宜种植区域和粮食总产量呈增加态势。然而,不同区域的粮食作物对气候变化的响应呈现明显的时空差异性。
气候变化下小麦产量的响应特征出现了区域分化。
西北地区小麦生产主要集中在陕西和新疆,其分别贡献了区域小麦总产量的44.2%和30.3%。以往研究认为,气候变化在一定阶段内促进了区域小麦增产,但近年来小麦产量对气候变化的响应已出现区域分化特征。例如,1999—2018年新疆的春小麦和冬小麦产量年均分别增加55.3和32.1 kg/hm^2,但气候因素的直接贡献有限。1960—2019年陕西冬小麦种植区的日照以4.2 h/a左右的速率下降,这导致气候产量下降约237 kg/hm2,更关键的是降水异常与气温日较差变化共同加剧了作物减产趋势。未来气候条件可能整体利于冬小麦生产,但不确定性仍较大。
气候变化对玉米产量的影响呈现区域差异性和生育期依赖性。
1981-2009年,陕西玉米生育期内日照时数下降,减产约7%;新疆、甘肃春玉米因降水与日照增加的正负效应基本抵消,但夏玉米因气温与日照增加,导致一个标准气象单位下产量增加约15.0%。未来气候情景下,2061—2100年的新疆玉米平均产量相对1981—2020年的平均产量可能减产16.2%。1984-2022年,河西走廊春玉米生育期呈现先延长后缩短趋势,气象产量与生育期降水量呈显著负相关关系。当温度为18.9℃—19.7℃时春玉米产量波动明显,超过阈值后气温每升高1℃,气候产量减少1592 kg/hm^2。
降水是影响雨养区马铃薯产量的主要气候因素,而高温是限制可灌溉区马铃薯产量的关键气候因素。
西北地区是我国马铃薯的主产区,甘肃定西为三大主产核心区之一。日最高气温每升高1℃,甘肃、陕西、宁夏和新疆的马铃薯产量分别减少127、289、199和339 kg/hm^2;降水量每增加100 mm,甘肃、青海和宁夏的马铃薯产量分别提高250、375和182 kg/hm^2。气候变化与耕作措施对马铃薯产量变异的协同贡献率约49.7%,未来将成为影响马铃薯产能的重要制约因素。
3.2 气候变化明显改变粮食作物的种植制度和种植区域
西北地区粮食种植制度由早期的“一年一熟”为主转变为“一年一熟与多熟制并存”的农作制度新格局。
关中平原区以冬小麦—夏玉米“一年两熟”轮作为主,黄河灌区也形成了相对稳定的稻麦轮作体系,河西走廊灌区为高效集约的小麦—玉米带状间作与套作制度。新疆绿洲灌区形成了以粮饲型轮作(如小麦—青贮玉米),南疆则形成了棉花—小麦—棉花“两年三熟”体系、小麦复种绿肥或蔬菜等接力复种多熟组合。甘肃陇西和新疆南疆还分别形成“苹果‖马铃薯”“枣树‖小麦”间作的果粮复合制度。未来,西北地区持续增温,可为单季作物向较长生育期品种过渡及由“一年一熟”向“一年两熟”转变提供充足的热量条件。
气候变化显著拓展了粮食作物的适宜种植区域。
20世纪80年代以来,西北地区冬季低温约束趋于减弱,冬小麦在关中平原、黄河灌区和甘肃河东等地的分布稳定性增强,呈现向北、向西调整的趋势,而春小麦分布进一步向高海拔与冷凉区扩张。在第六次国际耦合模式比较计划(CMIP6)气候情景(SSP2-4.5和SSP5-8.5)下的研究表明,冬小麦与夏玉米适宜区范围扩大,现有布局也将持续优化,潜在分布区域总体表现为北移与西移。20世纪80年代以来,玉米在河西走廊东段、天山北麓和伊犁河谷等区域分布,并呈现向更高纬度与更高海拔边缘扩展的趋势。未来气候变化情景下(SSP2-4.5和SSP5-8.5),冬小麦与夏玉米种植适宜区范围扩大,现有布局也将持续优化,潜在分布区域总体表现为北移和西移,玉米种植热量适宜区仍可能继续向高纬度、高海拔边缘扩展。马铃薯主要分布于青海高原、甘肃中部和宁夏南部等冷凉或半干旱地区。在绿洲灌区或河谷暖区,马铃薯多为局部配置作物,种植区分布受高温风险与水分管理条件共同限制。20世纪80年代以来,气候变暖使部分高寒区马铃薯生产稳定性增强,但低海拔河谷结薯期的高温风险趋于上升。未来气候变化情景下(SSP2-4.5和SSP5-8.5)马铃薯种植适宜区整体向更冷凉的高海拔或高纬度区域集聚,现有暖区种植适宜性可能下降。
3.3 农业气象灾害频发加剧粮食稳产增产风险
干旱和旱涝急转事件频发,直接威胁粮食稳产增产。
旱灾一般可造成作物出苗不齐、籽粒或块茎在发育过程中受到胁迫,最终减产。例如,新疆干旱导致东疆小麦年均减产20%—30%;河西绿洲干旱导致玉米授粉效果不佳,降低种子质量。旱涝急转会引起坡耕地和风沙区径流侵蚀及养分淋失等问题,降低作物产量。而小麦在灌浆—成熟期、玉米在吐丝—成熟期、马铃薯在块茎形成与膨大期遭遇旱涝急转现象时均易降低产量。
霜冻和冰雹破坏作物生长发育能力、加剧粮食作物稳产风险。
冬小麦在拔节—抽穗阶段遭遇霜冻和冰雹容易减产。例如,2018年4月陕西部分地区气温骤降至0℃以下,当地小麦减产30%以上。新疆冰雹多发于每年4—10月,尤其春夏季之交概率最高,恰与小麦生长中后期重叠,易导致产量与品质显著下降,严重时可绝产。玉米播种—七叶期和马铃薯茎叶期之前遭遇霜冻,容易导致单产下降、总产不稳。例如,甘肃庆阳及平凉东部黄土塬区夏播马铃薯从播种至茎叶期(6月中旬—8月上旬)强对流天气高发,冰雹会造成茎叶损伤,导致减产。
强风和沙尘灾害严重破坏作物生长、显著降低作物产量。
强风破坏土壤结构与地表保水层,形成“风-旱”耦合胁迫,导致作物倒伏。沙尘灾害覆盖作物叶片、削弱光合作用、加剧土壤风蚀与水分亏缺,显著降低作物产量。遭遇沙尘暴可使冬小麦平均减产约14.8%,沙尘暴持续时间每增加1 h,作物产量将下降1.4%左右;容易诱发玉米倒伏,造成秃尖和籽粒重量下降;损伤马铃薯地上部、削弱块茎积累,扩大产量与品质的不稳定风险。
3.4 气候变化加剧西北地区作物病虫害,增加粮食减产风险
气候变化打破了病虫害与环境、天敌的动态平衡关系,成为病虫害暴发的核心诱因。
20世纪70年代以来,我国农作物病虫害发生率从53%上升至100%以上,气候变化贡献率约占20%,推动发生率年均约3%,整体持续加重。西北地区深居内陆,病虫害对气候变化更敏感,多重异常交替叠加会进一步增大病虫害的防控难度。
暖湿化显著促进了西北地区小麦喜湿性病害的发生、发展。
甘肃陇南小麦红蜘蛛的适宜发生温度为8℃—15℃,20℃以上的高温环境易导致其死亡。随着气温升高,该地区作物成灾面积从20世纪90年代的6.7×10^4 hm^2缩减至21世纪10年代的4.0×10^4 hm^2左右。而小麦条锈菌偏好阴凉湿润环境、惧怕干旱高温,冬季气温升高有利于其安全越冬。当前,小麦条锈病的发生海拔已提升100—300 m,危害范围明显扩大。气候变暖叠加小麦种植密度增加,推动陇南地区的小麦白粉病快速蔓延,其发生面积从20世纪80年代的2.0×10^4 hm^2左右扩展至21世纪10年代的6.7×10^4 hm^2以上。
暖湿化导致病虫害扩展转移,加剧西北地区玉米和马铃薯病虫害发生。
气候变暖导致玉米螟在新疆南疆、北疆玉米主产区呈整体上升态势。玉米尾孢菌引发的灰斑病已从云南向西北扩散,2017—2018年蔓延至陕西及甘肃南部地区,成为西北地区玉米生产的新威胁。2001—2015年宁夏的玉米大斑病发生面积占宁夏玉米病害总发生面积的60.2%。2019—2023年陕西延安马铃薯幼苗期遭金针虫、蚜虫、瓢虫等蛀食的比例达25%,虫害随气温升高明显加重。
3.5 西北地区粮食生产应对气候变化面临的问题和挑战
西北地区农业生产体系在适应气候变化、防控复合灾害及破解资源环境约束方面仍存在系统性短板,突出表现为结构失配、风险累积和制度滞后三重矛盾。
(1)气候变化驱动的作物适生区扩展与种植制度的重构需求,尚未与既有农业生产布局和技术体系形成有效衔接。
暖湿化促使冬小麦种植区北移西扩、玉米向高纬度/高海拔拓展、马铃薯向冷凉区集聚,多熟制与轮作优化需求增强。但现实中农业布局调整滞后,“以水定产”约束落实不足,部分缺水区仍维持高耗水作物种植;旱作节水、覆盖保墒及抗逆品种等关键技术推广不均,小农户受制于信息与资本约束,技术采纳能力有限。这导致生产体系既难以释放气候变化带来的潜在增益,也难有效对冲产量波动风险。
(2)极端气象事件呈现高频化、复合化与链式演变趋势,而灾害防控体系整体响应能力不足。
从20世纪60年代以来,西北地区干旱、旱涝急转及低温霜冻等多类灾害叠加发生,且通过时序耦合与空间扩散放大影响,同时病虫害空间格局发生变化,综合冲击粮食作物产能及其稳定性。然而,现有监测预警体系仍以分散化为主,“天-空-地一体化”观测网络尚未完善,多源数据融合与精细化预报能力不足,面向复合灾害的全链条防控机制尚未形成,部门间协同与数据共享不畅,基层主体对预警信息的转化应用能力偏弱,使极端事件易引发减产风险。
(3)水资源刚性约束持续收紧与农业用水效率偏低的结构性矛盾叠加,成为制约区域农业适应能力的根本瓶颈。
西北地区水资源禀赋先天不足,农业用水占比长期处于高位,暖湿化带来的降水增量难以抵消种植规模扩张与集约化生产引起的需水增长。同时,农业用水方式仍偏粗放,高效节水灌溉技术覆盖有限,灌区工程体系与输配水效率提升滞后,以“四水四定”为核心的制度约束尚未全面落实,水权配置与流转机制不健全,分级总量控制与智能监管体系仍待完善,放大了气候变化背景下的用水不确定性,制约粮食生产系统的长期稳定与可持续发展。
4 西北地区粮食生产适应气候变化的策略建议
西北地区农业生产系统正面临“水资源刚性约束趋紧、极端灾害风险攀升、生态系统脆弱性加剧”的多重压力。应对上述挑战,须立足区域资源禀赋与气候演变规律,紧扣气候变化对粮食生产的核心影响,构建“韧性提升-风险防控-资源保障”三位一体的应对体系,推动西北地区粮食生产高质量可持续发展。
4.1 优化生产布局与技术体系,增强农业生产韧性
(1)以动态气候区划为指导优化作物布局与种植制度。
动态更新气候适宜性区划图,优化调整区域种植格局。在水资源匮乏的河西走廊、新疆,严格实行“适水定产”,压缩高耗水作物种植规模,持续扩大耐旱作物比例,并推广玉米与豆科作物的“一年一熟”轮作制。在灌溉保障程度较高的关中平原、黄河灌区、新疆绿洲灌区,稳定发展冬小麦—夏玉米“一年两熟”制,并利用播期优化、品种更新等手段充分挖掘光热生产潜力。将种植制度调整与智慧农业技术深度融合,利用遥感监测、物联网传感器与动态模型实时研判农田水热条件,形成“适宜区-适宜作物-适宜模式”的精准匹配,使作物布局从静态分区走向动态调优。
(2)规模化推广旱作节水与覆盖保墒关键技术。
系统推广“覆盖抑蒸、集雨增渗、调亏灌溉”技术体系,继续扩大“垄上覆膜、沟内种植”等成熟模式。针对黄土高原风蚀区和坡耕地,全面推行留茬覆盖与秸秆粉碎还田技术,结合秋季深松、少免耕等措施,构建地表保护层。以智能灌溉系统为载体,结合作物需水模型与实时墒情监测,构建“多样种植-耕作创新-智能灌溉”三位一体的旱区农田协同管理新模式,实现“按需精准灌溉”。
4.2 强化监测预警与应急响应,提升灾害防控能力
(1)构建支撑“天-空-地一体化”的立体化监测网络。
针对农业气象灾害极端化、复合化和链式传导趋势,重点开展风险识别、监测预警和应急处置,贯通“预报、预警、预演、预案”。围绕干旱、旱涝急转、霜冻、沙尘和病虫害等灾害风险,统筹卫星遥感、地面气象站、农田墒情监测、病虫害监测、无人机巡测和基层农情调查,构建覆盖主要粮食产区的“天-空-地一体化”监测网络,形成“天气—土壤—作物—灾情”全链条监测体系,提升对高温、低温、强降水、土壤墒情和作物长势的连续监测能力。当预报信息触发预设阈值时,预警系统自动生成并发布分区域、分作物、分灾种的精细化预警信息,并同步推送与预警等级匹配的防灾减灾技术预案。通过“阈值触发—预案捆绑—精准推送”的自动化链条,缩短农户从“知晓风险”到“采取行动”的响应时间。
(2)构建支撑“预报、预警、预演、预案”功能的数字化决策支持平台。
依托数字孪生技术,集成多源监测数据与作物生长模型,构建能够动态模拟灾害演进过程的农田虚拟系统。通过数字空间预演不同强度灾害情景下的土壤水分动态、作物倒伏范围及产量损失程度等关键指标,科学制定防灾资源配置方案、优化应急响应流程。结合卫星/无人机遥感快速识别受灾范围与程度,为精准定损、保险理赔与生产恢复提供客观依据。在此基础上,建立跨气象、农业、水利、应急管理等部门的数据共享与协同响应机制。
4.3 落实“四水四定”与制度保障,推进高效节水农业
(1)以刚性约束强化水资源管理与制度创新。
建立覆盖省、市、县三级的水资源总量控制体系,将农业用水总量指标逐级分解至灌区、乡镇乃至农民用水合作组织。在明确各区域水权配置的基础上,推动用水权与取水权有序流转,允许农户通过节水获得可交易的水权收益,使节水行为从行政推动转向利益驱动。严格取水许可管理,在新增农业取水审批中,强化对种植结构、灌溉方式、节水潜力的技术论证,确保新增用水量不超过区域水资源承载能力。同步建设灌区智慧水利监管平台,实现取水计量、用水监控、总量预警的实时化与智能化。
(2)全面推进深度节水技术革命与效能提升。
西北地区农业节水必须向“智能感知—精准调控—系统优化”的深度节水转型。
在智能感知层面,将节水技术与智慧农业平台对接,利用物联网、农业大数据与人工智能等手段,构建水土资源与作物生长的全时感知系统,并推动实时墒情监测与作物需水模型深度融合。
在精准调控层面,全面推广以滴灌、微喷灌等水肥一体化为核心的高效节水技术。特别要在新疆天山南北麓灌区、甘肃河西走廊灌区等主要灌区实现规模化覆盖,同时根据作物实时需水规律进行变量灌溉与施肥。
在系统优化层面,加快灌区现代化改造,配套建设智慧水利调度与计量设施,将灌溉水利用系数提升至更高水平;并且,整合智能灌溉系统与智慧农业平台,构建精准作业体系,实现水土资源利用的整体优化。
董勤各 西北农林科技大学水土保持科学与工程学院(水土保持研究所)水土保持与荒漠化整治全国重点实验室副研究员、博士生导师。主要研究领域:农田水资源高效利用与管理、土壤水盐调控与模拟等。
冯浩 西北农林科技大学水土保持科学与工程学院(水土保持研究所)水土保持与荒漠化整治全国重点实验室研究员、博士生导师。主要研究领域:水土资源高效利用,作物生境过程与模拟,旱区农业宏观研究等。
文章源自:董勤各、何建强、李毅、姚宁、李想、张浩磊、王胜楠、蒋腾聪、陈柏青、高春瑞、梁超、张桂源、宫蕾、赵金璇、于强、冯浩. 气候变化对西北地区粮食生产的影响及应对策略. 中国科学院院刊, 2026, 41(4): 673-685, doi: 10.3724/j.issn.1000-3045.20260211007.
责任编辑:金杭川 文彦杰





